Signal Processing
Digital signal processing, filtering, and spectral analysis
Digital signal processing, filtering, and spectral analysis
In addition to satellite systems, carrier phase positioning (CPP) is gaining attraction also in terrestrial mobile networks, particularly in 5G New Radio evolution toward 6G. One key challenge is to resolve the integer ambiguity problem, as the carrier phase provides only relative position information. This work introduces and studies a multi-band CPP scenario with intra- and inter-band carrier aggregation (CA) opportunities across FR1, mmWave-FR2, and emerging 6G FR3 bands. Specifically, we derive multi-band CPP performance bounds, showcasing the superiority of multi-band CPP for high-precision localization in current and future mobile networks, while noting also practical imperfections such as clock offsets between the user equipment (UE) and the network as well as mutual clock imperfections between the network nodes. A wide collection of numerical results is provided, covering the impacts of the available carrier bandwidth, number of aggregated carriers, transmit power, and the number of network nodes or base stations. The offered results highlight that only two carriers suffice to substantially facilitate resolving the integer ambiguity problem while also largely enhancing the robustness of positioning against imperfections imposed by the network-side clocks and multi-path propagation. In addition, we also propose a two-stage practical estimator that achieves the derived bounds under all realistic bandwidth and transmit power conditions. Furthermore, we show that with an additional search-based refinement step, the proposed estimator becomes particularly suitable for narrowband Internet of Things applications operating efficiently even under narrow carrier bandwidths. Finally, both the derived bounds and the proposed estimators are extended to scenarios where the bands assigned to each base station are nonuniform or fully disjoint, enhancing the practical deployment flexibility.
The temporal evolution of the propagation environment plays a central role in integrated sensing and communication (ISAC) systems. A slow-time evolution manifests as channel aging in communication links, while a fast-time one is associated with structured clutter with non-zero Doppler. Nevertheless, the joint impact of these two phenomena on ISAC performance has been largely overlooked. This addresses this research gap in a network utilizing orthogonal frequency division multiplexing waveforms. Here, a base station simultaneously serves multiple user equipment (UE) devices and performs monostatic sensing. Channel aging is captured through an autoregressive model with exponential correlation decay. In contrast, clutter is modeled as a collection of uncorrelated, coherent patches with non-zero Doppler, resulting in a Kronecker-separable covariance structure. We propose an aging-aware channel estimator that uses prior pilot observations to estimate the time-varying UE channels, characterized by a non-isotropic multipath fading structure. The clutter's structure enables a novel low-complexity sensing pipeline: clutter statistics are estimated from raw data and subsequently used to suppress the clutter's action, after which target parameters are extracted through range-angle and range-velocity maps. We evaluate the influence of frame length and pilot history on channel estimation accuracy and demonstrate substantial performance gains over block fading in low-to-moderate mobility regimes. The sensing pipeline is implemented in a clutter-dominated environment, demonstrating that effective clutter suppression can be achieved under practical configurations. Furthermore, our results show that dedicated sensing streams are required, as communication beams provide insufficient range resolution.
Measuring the power efficiency of the state-of-the-art OESCL-band amplifiers, we show that 1000 km OESCL-band systems can achieve 2.98x greater throughput for +48% higher energy-per-bit compared to CL-band transmission only.

This paper investigates a six-dimensional movable antenna (6DMA)-aided cell-free multi-user multiple-input multiple-output (MIMO) communication system. In this system, each distributed access point (AP) can flexibly adjust its array orientation and antenna positions to adapt to spatial channel variations and enhance communication performance. However, frequent antenna movements and centralized beamforming based on global instantaneous channel state information (CSI) sharing among APs entail extremely high signal processing delay and system overhead, which is difficult to be practically implemented in high-mobility scenarios with short channel coherence time. To address these practical implementation challenges and improve scalability, a two-timescale decentralized optimization framework is proposed in this paper to jointly design the beamformer, antenna positions, and array orientations. In the short timescale, each AP updates its receive beamformer based on local instantaneous CSI and global statistical CSI. In the long timescale, the central processing unit optimizes the antenna positions and array orientations at all APs based on global statistical CSI to maximize the ergodic sum rate of all users. The resulting optimization problem is non-convex and involves highly coupled variables, thus posing significant challenges for obtaining efficient solutions. To address this problem, a constrained stochastic successive convex approximation algorithm is developed. Numerical results demonstrate that the proposed 6DMA-aided cell-free system with decentralized beamforming significantly outperforms other antenna movement schemes with less flexibility and even achieves a performance comparable to that of the centralized beamforming benchmark.
The spectral and energy efficiency (SE-EE) trade-off in pinching-antenna systems (PASS) is investigated in this paper. In particular, two practical operating protocols, namely waveguide multiplexing (WM) and waveguide switching (WS), are considered. A multi-objective optimization problem (MOOP) is formulated to jointly optimize the baseband and pinching beamforming for maximizing the achievable SE and EE, which is then converted into a single-objective problem via the ε-constraint method. For WM, the problem is decomposed within the alternating-optimization framework, where the baseband beamforming is optimized using the successive convex approximation, and the pinching beamforming is updated through the particle swarm optimization. For WS, due to the time-division transmission and interference-free nature, the pinching beamforming in each time slot is first adjusted to maximize the served user channel gain, followed by the baseband power allocation. Simulation results demonstrate that 1) PASS outperforms conventional antennas by mitigating large-scale path losses; 2) WS leads to a higher maximum achievable EE by activating a single RF chain, whereas WM yields a higher SE upper bound by serving all users concurrently; and 3) increasing the number of users substantially enhances SE under WM, whereas WS shows more pronounced benefits in low-signal-to-noise ratio regimes.
Motivated by single-particle cryo-electron microscopy, multi-reference alignment (MRA) models the task of recovering an unknown signal from multiple noisy observations corrupted by random rotations. The standard approach, expectation-maximization (EM), often becomes computationally prohibitive, particularly in low signal-to-noise ratio (SNR) settings. We introduce an alternative, ultra-fast algorithm for MRA over the special orthogonal group $\mathrm{SO}(2)$. By performing a Taylor expansion of the log-likelihood in the low-SNR regime, we estimate the signal by sequentially computing data-driven averages of observations. Our method requires only one pass over the data, dramatically reducing computational cost compared to EM. Numerical experiments show that the proposed approach achieves high accuracy in low-SNR environments and provides an excellent initialization for subsequent EM refinement.
As wireless networks progress toward sixthgeneration (6G), understanding the spatial distribution of directional beam coverage becomes increasingly important for beam management and link optimization. Multiple-input multipleoutput (MIMO) beam map provides such spatial awareness, yet accurate construction under sparse measurements remains difficult due to incomplete spatial coverage and strong angular variations. This paper presents a tensor decomposition approach for reconstructing MIMO beam map from limited measurements. By transforming measurements from a Cartesian coordinate system into a polar coordinate system, we uncover a matrix-vector outer-product structure associated with different propagation conditions. Specifically, we mathematically demonstrate that the matrix factor, representing beam-space gain, exhibits an intrinsic Toeplitz structure due to the shift-invariant nature of array responses, and the vector factor captures distance-dependent attenuation. Leveraging these structural priors, we formulate a regularized tensor decomposition problem to jointly reconstruct line-of-sight (LOS), reflection, and obstruction propagation conditions. Simulation results confirm that the proposed method significantly enhances data efficiency, achieving a normalized mean square error (NMSE) reduction of over 20% compared to state-of-the-art baselines, even under sparse sampling regimes.
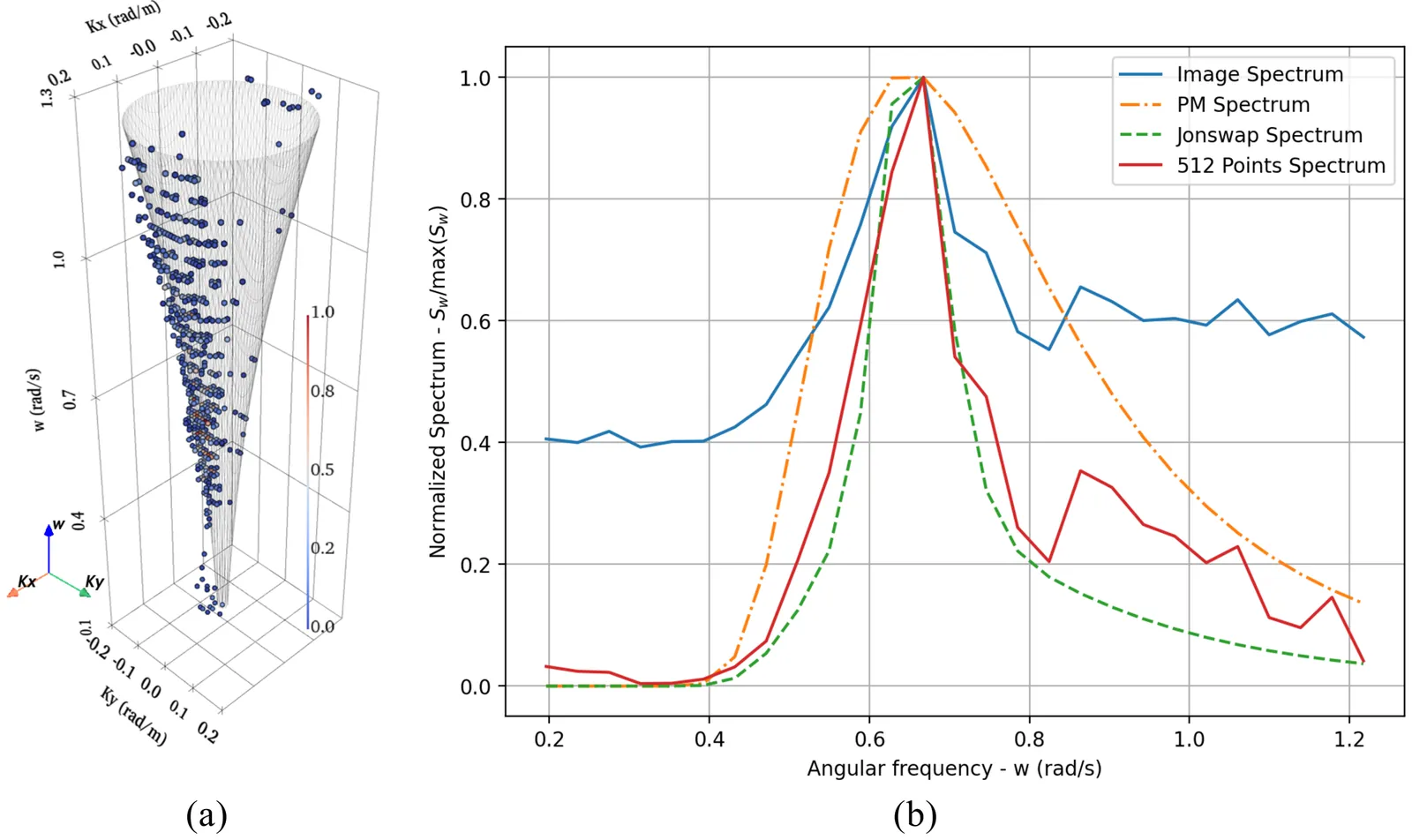
This paper presents a method for estimating significant wave height (Hs) from sparse S_pectral P_oint using a T_ransformer-based approach (SPT). Based on empirical observations that only a minority of spectral points with strong power contribute to wave energy, the proposed SPT effectively integrates geometric and spectral characteristics of ocean surface waves to estimate Hs through multi-dimensional feature representation. The experiment reveals an intriguing phenomenon: the learned features of SPT align well with physical dispersion relations, where the contribution-score map of selected points is concentrated along dispersion curves. Compared to conventional vision networks that process image sequences and full spectra, SPT demonstrates superior performance in Hs regression while consuming significantly fewer computational resources. On a consumer-grade GPU, SPT completes the training of regression model for 1080 sea clutter image sequences within 4 minutes, showcasing its potential to reduce deployment costs for radar wave-measuring systems. The open-source implementation of SPT will be available at https://github.com/joeyee/spt
The environmental and target-related information inherently carried in wireless signals, such as channel state information (CSI), has brought increasing attention to integrated sensing and communication (ISAC). However, it also raises pressing concerns about privacy leakage through eavesdropping. While existing efforts have attempted to mitigate this issue, they either fail to account for the needs of legitimate communication and sensing users or rely on hardware with high complexity and cost. To overcome these limitations, we propose PrivISAC, a plug-and-play, low-cost solution that leverages RIS to protect user privacy while preserving ISAC performance. At the core of PrivISAC is a novel strategy in which each RIS row is assigned two distinct beamforming vectors, from which we deliberately construct a limited set of RIS configurations. During operation, exactly one configuration is randomly activated at each time slot to introduce additional perturbations, effectively masking sensitive sensing information from unauthorized eavesdroppers. To jointly ensure privacy protection and communication performance, we design the two vectors such that their responses remain nearly identical in the communication direction, thereby preserving stable, high-throughput transmission, while exhibiting pronounced differences in the sensing direction, which introduces sufficient perturbations to thwart eavesdroppers. Additionally, to enable legitimate sensing under such randomized configurations, we introduce a time-domain masking and demasking method that allows the authorized receiver to associate each CSI sample with its underlying configuration and eliminate configuration-induced discrepancies, thereby recovering valid CSI. We implement PrivISAC on commodity wireless devices and experiment results show that PrivISAC provides strong privacy protection while preserving high-quality legitimate ISAC.
Bioelectrical properties of cells such as relative permittivity, conductivity, and characteristic time constants vary significantly between healthy and malignant cells across different frequencies. These distinctions provide a promising foundation for diagnostic and classification applications. This study systematically reviewed 33 scholarly articles to compile datasets of quantitative bioelectric parameters and evaluated their utility in predictive modeling. Three supervised machine learning algorithms- Random Forest (RF), Support Vector Machine (SVM), and K-Nearest Neighbor (KNN) were implemented and tuned using key hyperparameters to assess classification performance. Model effectiveness was evaluated using accuracy and F1 score as performance metrics. Results demonstrate that Random Forest achieved the highest predictive accuracy of ~ 90% when configured with a maximum depth of 4 and 100 estimators. These findings highlight the potential of integrating bioelectrical property analysis with machine learning for improved diagnostic decision-making. Similarly, for KNN and SVM, the F1 score peaked at approximately 78% and 76.5%, respectively. Future work will explore incorporating additional discriminative features, leveraging stimulated datasets, and optimizing hyperparameter through advanced search strategies. Ultimately, hardware prototype with embedded micro-electrodes and real-time control systems could pave the path for practical diagnostic tools capable of in-situ cell classification.
Radar sensing has emerged in recent years as a promising solution for unobtrusive and continuous in-home gait monitoring. This study evaluates whether a unified processing framework can be applied to radar-based spatiotemporal gait analysis independent of radar modality. The framework is validated using collocated impulse-radio ultra-wideband (IR-UWB) and frequency-modulated continuous-wave (FMCW) radars under identical processing settings, without modality-specific tuning, during repeated overground walking trials with 10 healthy participants. A modality-independent approach for automatic walking-segment identification is also introduced to ensure fair and reproducible modality performance assessment. Clinically relevant spatiotemporal gait parameters, including stride time, stride length, walking speed, swing time, and stance time, extracted from each modality were compared against gold-standard motion capture reference estimates. Across all parameters, both radar modalities achieved comparably high mean estimation accuracy in the range of 85-98%, with inter-modality differences remaining below 4.1%, resulting in highly overlapping accuracy distributions. Correlation and Bland-Altman analyses revealed minimal bias, comparable limits of agreement, and strong agreement with reference estimates, while intraclass correlation analysis demonstrated high consistency between radar modalities. These findings indicate that no practically meaningful performance differences arise from radar modality when using a shared processing framework, supporting the feasibility of radar-agnostic gait analysis systems.
We consider energy-efficient multi-user hybrid downlink beamforming (BF) and power allocation under imperfect channel state information (CSI) and probabilistic outage constraints. In this domain, classical optimization methods resort to computationally costly conic optimization problems. Meanwhile, generic deep network (DN) architectures lack interpretability and require large training data sets to generalize well. In this paper, we therefore propose a lightweight model-aided deep learning architecture based on a greedy selection algorithm for analog beam codewords. The architecture relies on an instance-adaptive augmentation of the signal model to estimate the impact of the CSI error. To learn the DN parameters, we derive a novel and efficient implicit representation of the nested constrained BF problem and prove sufficient conditions for the existence of the corresponding gradient. In the loss function, we utilize an annealing-based approximation of the outage compared to conventional quantile-based loss terms. This approximation adaptively anneals towards the exact probabilistic constraint depending on the current level of quality of service (QoS) violation. Simulations validate that the proposed DN can achieve the nominal outage level under CSI error due to channel estimation and channel compression, while allocating less power than benchmarks. Thereby, a single trained model generalizes to different numbers of users, QoS requirements and levels of CSI quality. We further show that the adaptive annealing-based loss function can accelerate the training and yield a better power-outage trade-off.
ASVspoof 5 is the fifth edition in a series of challenges which promote the study of speech spoofing and deepfake detection solutions. A significant change from previous challenge editions is a new crowdsourced database collected from a substantially greater number of speakers under diverse recording conditions, and a mix of cutting-edge and legacy generative speech technology. With the new database described elsewhere, we provide in this paper an overview of the ASVspoof 5 challenge results for the submissions of 53 participating teams. While many solutions perform well, performance degrades under adversarial attacks and the application of neural encoding/compression schemes. Together with a review of post-challenge results, we also report a study of calibration in addition to other principal challenges and outline a road-map for the future of ASVspoof.
Self-Supervised Learning (SSL) has emerged as a key technique in machine learning, tackling challenges such as limited labeled data, high annotation costs, and variable wireless channel conditions. It is essential for developing Channel Foundation Models (CFMs), which extract latent features from channel state information (CSI) and adapt to different wireless settings. Yet, existing CFMs have notable drawbacks: heavy reliance on scenario-specific data hinders generalization, they focus on single/dual tasks, and lack zero-shot learning ability. In this paper, we propose CSI-MAE, a generalized CFM leveraging masked autoencoder for cross-scenario generalization. Trained on 3GPP channel model datasets, it integrates sensing and communication via CSI perception and generation, proven effective across diverse tasks. A lightweight decoder finetuning strategy cuts training costs while maintaining competitive performance. Under this approach, CSI-MAE matches or surpasses supervised models. With full-parameter finetuning, it achieves the state-of-the-art performance. Its exceptional zero-shot transferability also rivals supervised techniques in cross-scenario applications, driving wireless communication innovation.
In this letter, we study an efficient multi-beam training method for multiuser millimeter-wave communication systems. Unlike the conventional single-beam training method that relies on exhaustive search, multi-beam training design faces a key challenge in balancing the trade-off between beam training overhead and success beam-identification rate, exacerbated by severe inter-beam interference. To tackle this challenge, we propose a new two-stage multi-beam training method with two distinct multi-beam patterns to enable fast and accurate user angle identification. Specifically, in the first stage, the antenna array is divided into sparse subarrays to generate multiple beams (with high array gains), for identifying candidate user angles. In the second stage, the array is redivided into dense subarrays to generate flexibly steered wide beams, for which a cross-validation method is employed to effectively resolve the remaining angular ambiguity in the first stage. Last, numerical results demonstrate that the proposed method significantly improves the success beam-identification rate compared to existing multi-beam training methods, while retaining or even reducing the required beam training overhead.
In the context of joint communication and sensing JC&S, the challenge of obtaining accurate parameter estimates is of interest. Parameter estimates, such as the AoA can be utilized for solving the initial access problem, interference mitigation, localization of users or monitoring of the environment and synchronization of MIMO systems. Recently, TTD systems have gained attention for fast beam training during initial access and mitigation of beam squinting. This work derives the CRB for angle estimates in typical TTD systems. Properties of the CRB and the Fisher information are investigated and numerically evaluated. Finally, methods for angle estimation such as ML and established estimators are utilized to solve the angle estimation problem using a uniform linear array.
Integrated sensing and communication (ISAC) through Zak-transform-based orthogonal time frequency space (Zak-OTFS) modulation is a promising solution for high-mobility scenarios. Realizing accurate bistatic sensing and robust communication necessitates precise channel estimation; however, this remains a formidable challenge in doubly dispersive environments, where fractional delay-Doppler shifts induce severe channel spreading. This paper proposes a semi-blind atomic norm denoising scheme for Zak-OTFS ISAC with bistatic sensing. We first derive the discrete-time input-output (I/O) relationship of Zak-OTFS under fractional delay-Doppler shifts and rectangular windowing. Based on this I/O relation, we formulate the joint channel parameter estimation and data detection task as an atomic norm denoising problem, utilizing the negative square penalty method to handle the non-convex discrete constellation constraints. To solve this problem efficiently, we develop an accelerated iterative algorithm that integrates majorization-minimization, accelerated projected gradient, and inexact accelerated proximal gradient methods. We provide a rigorous convergence proof for the proposed algorithm. Simulation results demonstrate that the proposed scheme achieves super-resolution sensing accuracy and communication performance approaching the perfect channel state information lower bound.
In 6G mobile communications, acquiring accurate and timely channel state information (CSI) becomes increasingly challenging due to the growing antenna array size and bandwidth. To alleviate the CSI feedback burden, the channel knowledge map (CKM) has emerged as a promising approach by leveraging environment-aware techniques to predict CSI based solely on user locations. However, how to effectively construct a CKM remains an open issue. In this paper, we propose F$^4$-CKM, a novel CKM construction framework characterized by four distinctive features: radiance Field rendering, spatial-Frequency-awareness, location-Free usage, and Fast learning. Central to our design is the adaptation of radiance field rendering techniques from computer vision to the radio frequency (RF) domain, enabled by a novel Wireless Radiator Representation (WiRARE) network that captures the spatial-frequency characteristics of wireless channels. Additionally, a novel shaping filter module and an angular sampling strategy are introduced to facilitate CKM construction. Extensive experiments demonstrate that F$^4$-CKM significantly outperforms existing baselines in terms of wireless channel prediction accuracy and efficiency.
Integrated sensing and communication (ISAC) is envisioned to be one of the key usage scenarios for the sixth generation (6G) mobile communication networks. While significant progresses have been achieved for the theoretical studies, the further advancement of ISAC is hampered by the lack of accessible, open-source, and real-time experimental platforms. To address this gap, we introduce OpenISAC, a versatile and high-performance open-source platform for real-time ISAC experimentation. OpenISAC utilizes orthogonal frequency division multiplexing (OFDM) waveform and implements crucial sensing functionalities, including both monostatic and bistatic delay-Doppler sensing. A key feature of our platform is a novel over-the-air (OTA) synchronization mechanism that enables robust bistatic operations without requiring a wired connection between nodes. The platform is built entirely on open-source software, leveraging the universal software radio peripheral (USRP) hardware driver (UHD) library, thus eliminating the need for any commercial licenses. It supports a wide range of software-defined radios, from the cost-effective USRP B200 series to the high-performance X400 series. The physical layer modulator and demodulator are implemented with C++ for high-speed processing, while the sensing data is streamed to a Python environment, providing a user-friendly interface for rapid prototyping and validation of sensing signal processing algorithms. With flexible parameter selection and real-time communication and sensing operation, OpenISAC serves as a powerful and accessible tool for the academic and research communities to explore and innovate within the field of OFDM-ISAC.
Cross-Phase Modulation (XPM) constitutes a critical nonlinear impairment in high-capacity Wavelength Division Multiplexing (WDM) systems, significantly driven by intensity fluctuations (IFs) that evolve due to chromatic dispersion. This paper presents an enhanced XPM model that explicitly incorporates frequency-domain IF growth along the fiber, improving upon prior models that focused primarily on temporal pulse deformation. A direct correlation between this frequency-domain growth and XPM-induced phase distortions is established and analyzed. Results demonstrate that IF evolution, particularly at lower frequencies, profoundly affects XPM phase fluctuation spectra and phase variance. Validated through simulations, the model accurately predicts these spectral characteristics across various system parameters. Furthermore, the derived phase variance enables accurate prediction of system performance in terms of Bit Error Ratio (BER). These findings highlight the necessity of modeling frequency-domain IF evolution to accurately characterize XPM impairments, offering guidance for the design of advanced optical networks.