High Energy Astrophysical Phenomena
Cosmic ray production, acceleration, propagation, supernovae and supernova remnants, neutron stars, pulsars, black holes.
Looking for a broader view? This category is part of:
Cosmic ray production, acceleration, propagation, supernovae and supernova remnants, neutron stars, pulsars, black holes.
Looking for a broader view? This category is part of:
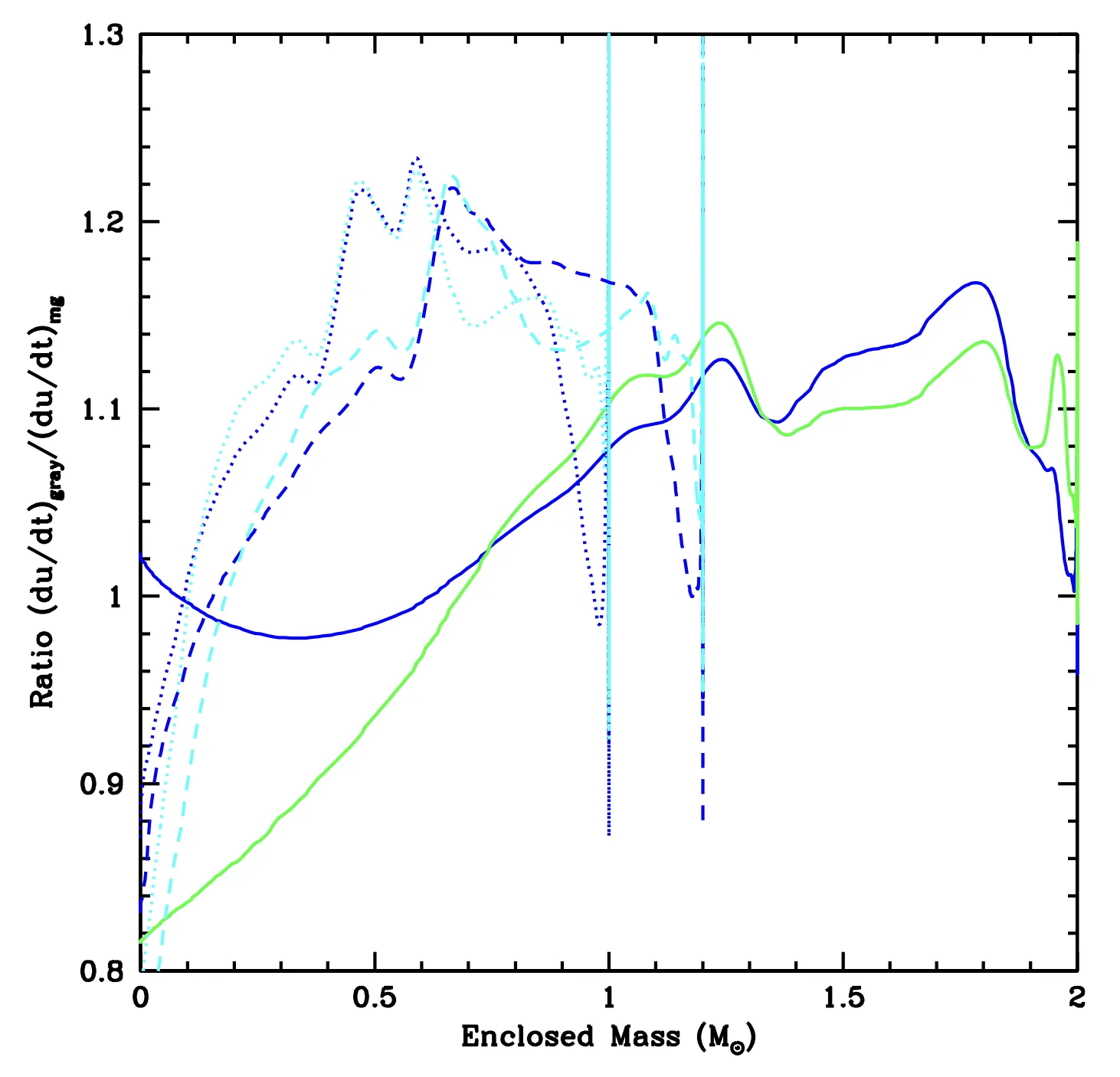
Radiation-hydrodynamics (RHD) determines the bulk evolution and observable emission in a wide variety of high-energy astrophysical phenomena. Due to their complexity, RHD problems must usually be studied through numerical simulation. We have extended the publicly available RICH code, which previously solved the equations of RHD in the limit of grey flux-limited diffusion (FLD), to operate with a multigroup FLD solver. RICH is a semi-Lagrangian code that solves the equations of RHD on an unstructured moving mesh, and is the first multigroup RHD moving mesh code, making it uniquely applicable to problems with extreme dynamic range and dynamically important radiation forces. We validate our multigroup module against multiple analytic benchmarks, including a novel test of the RHD Doppler term. The computational efficiency of the code is aided by a novel scheme to accelerate convergence in optically thick cells. Finally, we apply multigroup RICH in a pilot study of a stellar tidal disruption event (TDE), using a $10^4 M_\odot$ intermediate-mass black hole. Our simulations self-consistently produce a bright early-time X-ray flash prior to peak optical/UV light, in qualitative agreement with post-processing of (grey) RICH simulations of supermassive black hole TDEs, as well as X-ray observations of the TDE AT 2022dsb.
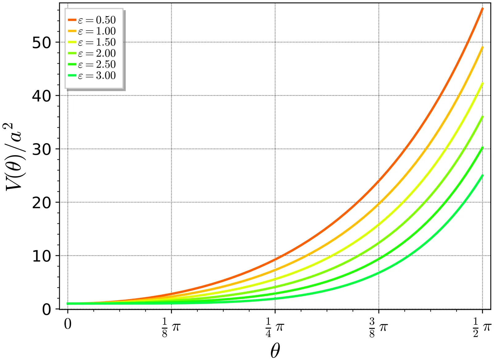
The launch of relativistic jets of plasma on astrophysical to cosmological scales are observed in a variety of astrophysical sources, from active galactic nuclei to X-rays binaries. While these jets can be reproduced by the general relativistic magneto-hydrodynamic (GRMHD) and particle-in-cells (GRPIC) simulations of the dynamical Kerr magnetosphere, the development of analytic models to describe the physics of the jets has remained limited. A key challenge is to analytically describe the individual trajectories of accelerated charged particles which ultimately build up the jet and emit radiation. In this work, we provide a first simple but fully analytical model of jet launching from the Kerr magnetosphere based on the motion of charged particles. To that end, we use the integrability of electrogeodesic motion in the Kerr monopole magnetosphere to study the ejection of charged particles near the poles. This enables us to derive (i) a criterion for the rotation axis to constitute a stable latitunal equilibrium position, thereby representing an idealized jet, (ii) the expression for the magnetic frame-dragging effect, and (iii) the condition for an asymptotic observer to measure blueshifted particles emanating from the black hole surroundings. Our study reveals that particles can be accelerated only in a specific region whose maximal radius depends on the spin and magnetization of the black hole. Alongside these results, we provide a detailed review of the construction of test magnetospheres from (explicit and hidden) symmetries of the Kerr geometry and the condition for the separability of the electrogeodesic motion in a test magnetosphere, which serves as a basis for the model we study in this work.
The nature of the remnant of a binary neutron star (BNS) merger is uncertain. Though certainly a black hole (BH) in the cases of the most massive BNSs, X-ray lightcurves from gamma-ray burst (GRB) afterglows suggest a neutron star (NS) as a viable candidate for both the merger remnant as well as the central engine of these transients. When jointly observed with gravitational waves (GWs), X-ray lightcurves from BNS merger events could provide critical constraints on the remnant's nature. We aim to assess the current and future capabilities to detect a NS remnant through X-ray observations following GW detections. To this end, we simulate GW signals from BNS mergers and the subsequent X-ray emission from newborn millisecond magnetars. The GW detectability is modeled for both current and next-generation interferometers, while the X-ray emission is reproduced using a dedicated numerical code that models magnetar spin-down and ejecta dynamics informed by numerical-relativity simulations. In our simulations, 2% - 16% of BNS mergers form millisecond magnetars. Among these, up to 70% could be detectable, amounting to up to 1 millisecond magnetar detection per year with SVOM/MXT-like instruments during the LIGO Virgo KAGRA LIGO India (LVKI) O5 run, with optimal detectability occurring about 2 hours post-merger. For next-generation GW interferometers, this rate could increase by up to three orders of magnitude, with peak detectability 3 to 4 hours post-merger. We also explore how the magnetar's magnetic field strength and observer viewing angle affect detectability and discuss optimized observational strategies. Although more likely with upcoming GW interferometers, detecting the spin-down emission of a millisecond magnetar may already be within reach, warranting sustained theoretical and observational efforts given the profound implications for mergers, GRBs, and NS physics of a single detection.
2601.04953I suggest that some of the mysterious temporal properties of Fast Radio Bursts (FRB) may be explained if they are produced by dynamically triaxial magnetars. If the bursts are narrowly collimated along open field lines, then observed repeating FRB may be those in which the moment of inertia tensor is only slightly triaxial and the rotation axis, open field lines and radiation point nearly to the observer. Apparently non-repeating FRB may be triaxial with the direction of open field lines and radiation wandering across the sky, reducing their duty factors by several orders of magnitude. A slightly triaxial moment tensor in repeaters moves the line of sight into or out of the radiation pattern or within it, explaining periods of greater or lesser (or absent) activity, and making the probability of detecting a burst vary aperiodically. The dynamics of triaxial bodies may also thwart the coherent integration of gravitational signals from fast-rotating accreting neutron stars.
While the temporal variations of the spectro-polarimetric nature of pulsars remains unexplored, this investigation offers significant potential for uncovering key insights into pulsar emission mechanisms, magnetic field geometry, and propagation effects within the magnetosphere. We developed a package for investigating time-varying spectral behavior for full Stokes parameters and demonstrate it on a millisecond pulsar (MSP) J2144-5237 in a binary system (orbital period ~10 days) using the Parkes UWL receiver. In this study we report rotation measure (RM) variation with orbital phase. We find that the temporal variations in the spectra of Stokes I, Q, and V are generally correlated throughout the orbit, while Stokes U exhibits intervals of both correlation and anticorrelation with Stokes I, depending on the orbital phase. We also provide a Poincare sphere representation of the polarization properties of J2144-5237, demonstrating a systematic temporal change of Poincare sphere location for the main component with orbital phase. To our knowledge, this is the first investigation of time-varying properties of the spectro-polarimetric nature of any pulsars or MSPs. Extending this study to probe the spectro-temporal nature of full Stokes data on a larger sample of MSPs or pulsars has the potential to provide vital information on emission mechanisms inside the magnetosphere, interstellar propagation effects, and binary interactions.
2601.04870When a stellar binary encounters a spinning black hole, interesting phenomena might result due to the mutual interaction between the binary spin, orbital angular momentum and the black hole spin. Here we consider such encounters between an intermediate mass spinning black hole and a close identical white dwarf binary system whose center of mass follows a parabolic trajectory. After studying a corresponding three-body problem in the point particle approximation, we perform a suite of smoothed particle hydrodynamics based numerical simulations of such scenarios. For this, we integrate the geodesic equations for the spinning black hole, while considering the hydrodynamics and the self and mutual gravitational interactions of the stars in a Newtonian approximation, an approach justified by the choice of parameters in the theory. We consider various initial configurations of the binary center of mass leading to equatorial and off-equatorial orbits, as also various initial inclinations between the binary's initial spin angular momentum and its initial orbital angular momentum. We find that the effects of black hole spin manifest clearly in the tidal dynamics of the binary components, while the observables of tidal encounters such as mass fallback rates are strongly dependent on the initial inclination angle. We show that the influence of the black hole spin emerges in distinct ways for different initial configurations of the binary's spin alignment. We establish that within the ambits of the Hills mechanism, in certain cases, the fallback rate may show a three-hump structure, due to interactions between tidal debris of the individual stars.
We investigated the long-term evolution of the cyclotron line energy, as well as the relationship between cyclotron line energy and luminosity in the high-mass X-ray binary Vela X-1, based on archival Swift/BAT monitoring from 2005 to 2024 and pulse-to-pulse analysis of nine NuSTAR observations from 2012 to 2024. Our results provide the first confirmation that the long-term decay of the harmonic line energy ($E_{\rm cyc,H}$) in Vela X-1 has ended. We further report the first detection of a transient increase in $E_{\rm cyc,H}$ between 2020 and 2023, which suggests a sudden and significant change in the magnetic field configuration or accretion geometry. In addition, $E_{\rm cyc,H}$ shows slightly lower values at low luminosities and tends to flatten at higher luminosities, in the range of $(0.13\text{--}1.21) \times10^{37} $erg $\rm{s}^{-1}$. The fundamental line energy ($E_{\rm cyc,F}$) exhibits no significant variation with time or luminosity, remaining stable at approximately 25 keV.
Abell 3571 is a nearby, X-ray bright galaxy cluster located in the Shapley Supercluster. Although it appears morphologically relaxed in X-ray images, multiwavelength observations reveal subtle indications of residual dynamical activity, likely associated with past merger events. Using wide-field ($1^{\circ} \times 1^{\circ}$) data from the Einstein Probe Follow-up X-ray Telescope (EP-FXT), we extend measurements of the cluster's properties beyond its $R_{500}$ radius. We detect surface-brightness excesses on both the northern and southern sides, consistent with previous XMM-Newton results. The temperature, pressure, and entropy in the northern excess region are lower than the average values, whereas those on the southern side are slightly higher. However, we find no evidence for cold fronts or shocks. These features can be interpreted as sloshing motions triggered by an off-center minor merger. Our findings suggest that, despite its symmetric appearance, A3571 is still recovering from a minor merger and is currently in a post-merger phase. This work also demonstrates the excellent capability of EP-FXT for probing the outskirts of galaxy clusters.
2601.04522We present the UV/X-ray joint spectral analyses of four Seyfert~1 galaxies (PG 0804+761, NGC 7469, SWIFT J1921.1-5842, and SWIFT J1835.0+3240) using the data acquired with the Ultraviolet Imaging Telescope and Soft X-ray Telescope onboard AstroSat. We model the intrinsic UV/X-ray continuum with the accretion disk, warm and hot Comptonization using the OPTXAGNF and FAGNSED models, where the disk seed photons are Comptonized in the warm and hot corona. The Eddington ratio of the four Seyferts ranges from 0.01 to 1. In the case of SWIFT J1835.0$+$3240, we infer a compact warm corona ($ R_{warm} - R_{hot} \lesssim 18 r_{g}$) while, PG 0804+761, NGC 7469, and SWIFT J1921.1-5842 may exhibit a larger warm Comptonizing region ($\gtrsim 32r_{g}$). We could constrain the spin parameter in PG 0804+761, $a^{\star} = 0.76_{-0.20}^{+0.08}$ (1$σ$ error), with the FAGNSED model. In SWIFT J1835.0+3240 and SWIFT J1921.1-5842, the UV/X-ray spectral variability may be driven by the thermal Comptonization of the disk seed photons in the hot corona. Furthermore, the observed spectral hardening with the decrease in disk temperature and accretion rate compared to earlier observations may indicate a state transition in SWIFT J1835.0+3240 from a high/soft to a low/hard state.
The jet compositions of gamma-ray bursts (GRBs) are very important to understand the energy dissipation and radiation mechanisms, but it remains an open question in GRB physics. In this paper, we present a systematic analysis to search for 88 bright GRBs that include a total of 129 pulses observed by Fermi/GBM with redshift measured, and extract the spectra of each pulse with Band function (Band), cutoff power-law (CPL), blackbody (BB), non-dissipative photospheric (NDP), Band+BB, as well as CPL+BB. We find that 80 pulses, 35 pulses, and 14 pulses present purely non-thermal, hybrid, and thermal spectra, respectively. By focusing on those 80 pulses with purely non-thermal spectra, one can estimate the lower limits of magnetization factor ($σ$) via suppressing the pseudo-thermal component. It is found that 30 pulses in 21 GRBs are the lower limit of $σ>5$ at the photosphere by adopting $R_{0}=10^{10}$ cm. It suggests that at least the outflow of those GRB jets with high $σ$ is dominated by Poynting-flux. On the other hand, we also perform the light curve fitting with a fast-rise-exponential-decay (FRED) model for 15 bright GRBs with a high magnetization factor in our sample, and find that a correlation between pulse width ($w$) and energy of 13 GRBs really exists in their energy-resolved light curves. It is also a piece of independent evidence for those GRBs with a high value $σ$ to support the origin of the Poynting flux outflow.
Nuclear yields are powerful probes of supernova explosions, their engines and their progenitors. In addition, as we improve our understanding of these explosions, we can use nuclear yields to probe dense matter and neutrino physics, both of which play a critical role in the central supernova engine. Especially with upcoming gamma-ray detectors that can directly detect radioactive isotopes out to increasing distances from gamma-rays emitted during their decay, nuclear yields have the potential to provide some of the most direct probes of supernova engines and stellar burning. To utilize these probes, we must understand and limit the uncertainties in their production. Uncertainties in the nuclear physics can be minimized by combining both laboratory experiments and nuclear theory. Similarly, astrophysical uncertainties caused by simplified explosion trajectories can be minimized by higher-fidelity stellar-evolution and supernova-engine models. This paper reviews the physics and astrophysics uncertainties in modeling nucleosynthetic yields, identifying the key areas of study needed to maximize the potential of supernova yields as probes of astrophysical transients and dense-matter physics.
Tidal disruption event (TDE) light curves are increasingly used to infer the masses of quiescent supermassive black holes ($M_{\rm{BH}}$), offering a powerful probe of low-mass black hole demographics independent of host-galaxy scaling relations. However, the reliability of most semi-analytic TDE models assume full stellar disruption, despite theoretical expectations that partial disruptions dominate the TDE population. In this work we test the robustness of current TDE models using three repeating partial TDEs (rpTDEs), in which the multiple flares produced by the same surviving stellar core must yield consistent black hole masses. We present spectroscopic observations establishing AT 2023adr as a rpTDE, making it the third such spectroscopically confirmed event. We independently model the flares of the three rpTDEs; 2020vdq, 2022dbl, and 2023adr, applying fallback-accretion fits, stream-stream collision scaling relations, luminosity-based empirical relations, and cooling-envelope fits. After accounting for statistical and model-specific systematics, we find that all TDE models generally return self-consistent $M_{\rm{BH}}$ values between flares, and are broadly consistent with host-galaxy $M_{\rm{BH}}$ proxies, recovering $M_{\rm{BH}}$ to within 0.3-0.5 dex. However, the convergence of fallback models towards unphysical stellar masses and impact parameters reveals limitations in the existing fallback model grids. We also show that light curve coverage, particularly in the near-UV, is critical for constraining model parameters. This has direct implications for interpreting the thousands of TDE light curves expected from upcoming surveys such as the Rubin Observatory's Legacy Survey of Space and Time, where from simulations, we find that $M_{\rm{BH}}$ may be underestimated on average by 0.5 dex without additional follow-up.
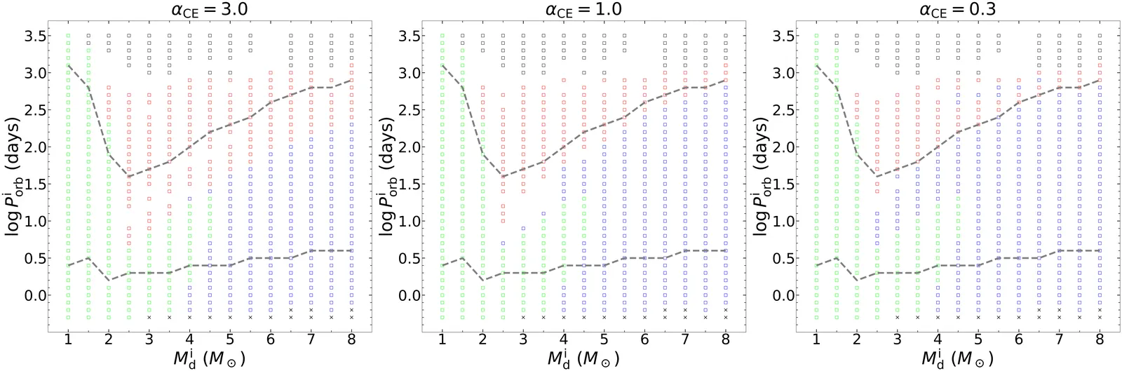
We present a systematic study of the evolution of low- and intermediate-mass X-ray binaries (L/IMXBs) consisting of a $1.4\,M_{\odot}$ neutron star (NS) and a donor star of mass $1-8\,M_{\odot}$. Using grids of detailed MESA simulations, we show that for donor masses of $2-8\,M_{\odot}$, mass transfer may be dynamically unstable, leading to a common envelope (CE) phase. By adopting CE ejection efficiencies in the range $α_{\rm CE} = 0.3-3.0$, we find that post-CE binaries frequently experience a CE decoupling phase (CEDP), which plays a critical role in determining their final orbital and compositional properties. Systems with initial donor masses $\gtrsim 3.5\,M_{\odot}$ predominantly evolve into NS binaries with carbon-oxygen or oxygen-neon white dwarfs (WDs) with masses between $0.5\,M_{\odot}$ and $1.4\,M_{\odot}$. Comparison with the observed population of binary pulsars with a WD companion shows better agreement with higher CE ejection efficiencies ($α_{\rm CE} = 3.0$). Furthermore, we demonstrate that NSs can accrete a sufficient amount of matter ($\gtrsim 0.01\,M_{\odot}$) during the CEDP and subsequent Case BA/BB/BC mass transfer phases to be effectively recycled into millisecond pulsars. We identify two distinct evolutionary channels capable of reproducing the observed characteristics of the millisecond pulsar PSR J1928+1815 with a helium-star companion. Our results highlight the importance of the CEDP in the formation of recycled pulsars and provide constraints on the CE ejection efficiency during binary evolution.
The Fermi and eROSITA bubbles in the Milky Way represent an archetypal case of galactic nucleus feedback, yet their origin remains highly debated. Here we use hydrodynamic simulations to investigate the formation of the "Fermi bubbles" in the nearby Circinus galaxy, a pair of kpc-scaled elliptical bubbles seen in both radio and X-ray observations. We find that a pair of active galactic nucleus (AGN) jets drive forward shocks in the circumgalactic medium, and after evolving for ~0.95 Myr, the shock-delineated bubble pair roughly matches the observed Circinus bubbles in size and morphology. Our mock X-ray image and spectrum reproduce the observed edge-brightened X-ray surface brightness distribution and spectrum quite well, and suggest that non-thermal emissions from the jet ejecta also contribute substantially to radio and X-ray emissions from the inner "hotspot" region. We further show that AGN winds tend to produce more spherical bubbles with a wider base near the galactic plane, inconsistent with observations. The hotspot emissions and the misalignment between the galaxy rotational axis and the bubble's axis argue against a starburst wind origin. Our study thus corroborates the AGN jet-shock model for the origin of both the Circinus bubbles and the Fermi bubbles, and suggests that AGN jet feedback may be a common origin of extended gaseous bubbles in regular disk galaxies, potentially playing an important role in their evolution.
We present a five-year X-ray spectral and timing analysis of the optically selected Tidal Disruption Event (TDE) AT2019teq, which displays extreme variability, including order-of-magnitude changes in flux on minute-to-day timescales, and a rare late-time emergence of hard X-ray emission leading to the longest-lived corona in a known TDE. In one epoch, we detect sub-mHz quasi-periodic oscillations with significance tested via MCMC-based red-noise simulations (p $\leq 0.03$). AT2019teq exhibits a clear spectral evolution from a soft (blackbody-dominated) state to a hard (power-law-dominated) state, with a late-time radio brightening that may be associated with the state transition. We identify similarities between AT2019teq's evolution and X-ray binary soft-to-hard state transitions, albeit at higher luminosity and much faster timescales. We use the presence of both a disk-dominated and a corona-dominated state to apply multiple mass estimators from X-ray spectral and variability properties. These techniques are mutually consistent within $2σ$ and systematically yield a lower black hole mass ($\log(M_{BH}/M_{\odot}) = 5.67 \pm 0.09$) than inferred from host galaxy scaling ($\log(M_{BH}/M_{\odot})=6.14 \pm 0.19$).
The long GRB 180728A, at a redshift of $z = 0.1171$, stands out due to its high isotropic energy of $E_{γ,iso} \sim 2.5 \times 10^{51}$ erg, in contrast with most events at redshift $z<0.2$. We analyze the properties of GRB 180728A's prompt emission, afterglow, and associated supernova SN 2018fip, comparing them with other GRB-SN events. This study employs a dense photometric and spectroscopic follow-up of the afterglow and the SN up to 80 days after the burst, supported by image subtraction to remove the presence of a nearby bright star, and modelling of both the afterglow and the supernova. GRB 180728A lies on the $E_{p,i}-E_{γ,iso}$ plane occupied by classical collapsar events, and the prompt emission is one of the most energetic at $z < 0.2$ after GRB 030329 and GRB 221009A. The afterglow of GRB 180728A is less luminous than that of most long GRBs, showing a shallow early phase that steepens around 5 hours (0.2 days). The GRB exploded in an irregular, low-mass, blue, star-forming galaxy, typical of low-z collapsar events. Because of the relatively faint afterglow, the light curve bump of SN 2018fip dominates the optical emission already after $\sim$3 days and is one of the best sampled to date. The strong suppression below $\sim$ 4000 angstrom and a largely featureless continuum in the early 6--9 days spectra favor aspherical two-component ejecta with a high-velocity collimated component ($> 20,000 km s^{-1}$), dominant early-on, and a more massive, low-velocity component, which dominates at much later epochs. Our findings indicate that asymmetries need to be considered in order to better understand GRB-SNe. In any case, SN 2018fip shares many characteristics with typical GRB-SNe. Its kinetic energy is below the common range of $10^{52}-10^{53}$ erg and does not correlate with the high energy of the GRB, highlighting the diversity of the GRB-SN energy budget partition.
Observing supernovae (SNe) in the early Universe (z > 3) provides a window into how both galaxies and individual stars have evolved over cosmic time, yet a detailed study of high-redshift stars and SNe has remained difficult due to their extreme distances and cosmological redshifting. To overcome the former, searches for gravitationally lensed sources allow for the discovery of magnified SNe that appear as multiple images - further providing the opportunity for efficient follow-up. Here we present the discovery of "SN Eos": a strongly lensed, multiply-imaged, SN II at a spectroscopic redshift of z = 5.133 +/- 0.001. SN Eos exploded in a Lyman-α emitting galaxy when the Universe was only ~1 billion years old, shortly after it reionized and became transparent to ultraviolet radiation. A year prior to our discovery in JWST data, archival HST imaging of SN Eos reveals rest-frame far ultraviolet (~1,300Å) emission, indicative of shock breakout or interaction with circumstellar material in the first few (rest-frame) days after explosion. The JWST spectroscopy of SN Eos, now the farthest spectroscopically confirmed SN ever discovered, shows that SN Eos's progenitor star likely formed in a metal-poor environment (<= 0.1 Z_{\odot}), providing the first direct evidence of massive star formation in the metal-poor, early Universe. SN Eos would not have been detectable without the extreme lensing magnification of the system, highlighting the potential of such discoveries to eventually place constraints on the faint end of the cosmic star-formation rate density in the very early Universe.
Motivated by a number of X-ray observations of active galactic nuclei (AGNs) that exhibit a potential signature of ultra-fast inflows (UFIs), we consider in this work a scenario that UFIs can be physically identified as weakly-magnetized hydrodynamic accretion flows that is guided and channeled by poloidal magnetic field into low-to-mid latitude above the equatorial disk. In the context of general relativistic hydrodynamics (GRHD) under a weak-field limit in Kerr spacetime, we present a set of preliminary results by numerically calculating the physical property of GRHD flows (e.g. kinematics and density distribution) in an effort to simulate redshifted absorption line spectra. Our model demonstrates that such GRHD accretion off the equatorial plane (i.e. $v \gsim 0.1c$ where $c$ is the speed of light in the vicinity of AGN closer than $\sim 100$ \sw radii) can manifest itself as UFIs in the form of redshifted absorption signature assuming the observed characteristics such as column density of $N_H \sim 10^{23}$ cm$^{-2}$ and ionization parameter of $\log (ξ\rm{[erg~cm~s^{-1}])} \sim 3$ as also seen in recent multi-epoch {\it NuSTAR} observations among other data.
High-density and high-Z crystals are a key element of most space-borne $γ$-ray telescopes operating at GeV energies (such as Fermi-LAT). The lattice structure is usually neglected in the development of a crystalline detector, although its effects on the energy deposit development should be taken into account, since the interactions of a high energy ($\sim$~GeV) photon or e$^\pm$ impinging along the axis of an oriented crystal are different than the ones observed in a fully isotropic medium. Specifically, if the angle between a photon (e$^\pm$) trajectory and the crystal axis is smaller than $\sim$ 0.1$^\circ$, a large enhancement of the pair production (bremsstrahlung) cross-section is observed. Consequently, a photon-induced shower inside an oriented crystal develops within a much more compact region than in an amorphous medium. Moreover, for photon energies above a few GeV and incidence angles up to several degrees, the pair-production cross-section exhibits a pronounced dependence on the angle between the crystal axis and the photon polarization vector. \\ In this work we show that these effects could be exploited to develop a novel class of light-weight pointing space-borne $γ$-ray telescopes, capable of achieving an improved sensitivity and resolution, thanks to a better shower containment in a smaller volume with respect to non-oriented crystalline detectors. We also show that an oriented tracker-converter system could be used to measure the polarization of a $γ$-ray source above few GeV, in a regime that remains unexplorable through any other detection technique. This novel detector concept could open new pathways in the study of the physics of extreme astrophysical environments and potentially improve the detector sensitivity for indirect Dark Matter searches in space.
We propose a new Bayesian framework to infer the neutron star equation of state (EOS) from mass and radius observations and neutron matter theory by defining priors that directly parameterize mass-radius space instead of pressure-energy density space. We use direct and accurate inversion approximations to map mass-radius relations to the underlying EOS. We systematically compare its EOS inferences with those inferred from traditional EOS parameterizations, taking care to quantify the systematic prior uncertainties of both. Our results show that prior uncertainties should be included in all Bayesian approaches. The more natural alternative framework provides broader coverage of the physically allowed mass-radius space, especially small radius configurations, and yields enhanced computational efficiency and substantially reduced dependence on prior choices. Our results demonstrate that direct parameterization in observed space offers a robust and efficient alternative to traditional methods.