Nuclear Experiment
Nuclear physics experiments including heavy-ion collisions.
Looking for a broader view? This category is part of:
Nuclear physics experiments including heavy-ion collisions.
Looking for a broader view? This category is part of:
In the present work we have analyzed the transverse momentum spectra of charged particles in high multiplicity $pp$ collisions at LHC energies $\sqrt s $ = 5.02 and 13 TeV using the Color String Percolation Model (CSPM). For heavy ions $Pb-Pb$ at $\sqrt {s_{NN}} $ = 2.76 and 5.02 TeV along with $Xe-Xe$ at $\sqrt {s_{NN}} $= 5.44 TeV have been analyzed. The initial temperature is extracted both in low and high multiplicity events in ${\it pp}$ collisions. For $A-A$ collisions the temperature is obtained as a function of centrality. From the measured energy density $ \varepsilon$ and the temperature T the dimensionless quantity $ \varepsilon/T^{4}$ is obtained. Our results for Pb-Pb and Xe-Xe collisions show a sharp increase in $\varepsilon/T^{4}$ above T $\sim$ 210 MeV and reaching the ideal gas of quarks and gluons value of $ \varepsilon/T^{4} \sim$ 16 at temperature $\sim $ 230 MeV. At this temperature there is a transition from the fluid behavior of QCD matter strongly interacting to a quasi free gas of quarks and gluons.
Resonances provide sensitivity to the late-stage dynamics of heavy-ion collisions, as their lifetimes are comparable to the duration of the hadronic phase. This review summarizes state-of-the-art measurements of light-flavour mesonic and baryonic resonances, including $ρ$(770), $K^{\star}$(892), $φ$(1020), $Δ$(1232), $Λ^{\star}$(1520), $Σ^{\star}$(1385) and $Ξ^\star$(1530), in pp, p-A and A-A collisions at SPS, RHIC and the LHC. Systematic trends in yields, mass and width modifications, transverse-momentum spectra, nuclear modification factors, and particle ratios reveal the interplay of re-scattering and regeneration, medium-induced suppression, and the development of collective dynamics with increasing system size and multiplicity. Anisotropic flow results confirm the coupling of resonances to the expanding medium, while recent vector-meson spin-alignment measurements offer fresh insights into hadronization mechanisms and local fields. Ultra-peripheral collisions provide vacuum-like baselines for isolating in-medium effects. Emerging opportunities for charm-resonance studies in upcoming high-luminosity experiments are also outlined.Together, these advances demonstrate the important role of resonance measurements in constraining the space-time evolution of strongly interacting matter.
Nuclear mass is a key indicator of how the nuclear shell structure evolves. The recent mass measurement study of neutron-rich lanthanum isotopes [A. Jaries, $et~al$., Phys. Rev. Lett. 134, 042501(2025)] reveals the presence of a distinct prominence in their two-neutron separation energies. However, its presence has been called into question based on the results of another study [B. Liu, Ph.D. thesis, University of Notre Dame (2025)]. In this letter, we report an effort to clarify these contradictory results through the use of the simultaneous mass-lifetime measurement of the neutron-rich lanthanum isotope ${}^{149}$La using a multi-reflection time-of-flight mass spectrograph combined with a $β$-TOF detector. The peak corresponding to a $β$-decaying state was observed in the time-of-flight spectra at a position of $221(6)~{\rm keV/c^2}$ lighter than the reported ${}^{149}$La mass. We have concluded that this peak is the ground state of ${}^{149}$La. With this, the previously reported distinct prominence in the two-neutron separation energies disappears, while a new kink structure, similar to that in the cerium isotopes, appears. Comparison with theoretical models suggests that a nuclear shape transition from octupole deformation to another type of deformation occurs around $N=91$ and is likely the cause of this kink structure.
Measurements of jet substructure observables in heavy-ion (HI) collisions provide powerful constraints on the microscopic mechanisms of interactions between energetic partons and the quark--gluon plasma (QGP). Although there has been remarkable progress in measuring inclusive jet substructure, a complete understanding of identified particle production inside jets (jet hadrochemistry) and its modification in HI collisions remains elusive. Jet quenching models predict that the jet hadrochemical composition is modified in the QGP, arising from both jet-medium interactions and altered particle production in the jet wake. Measurements of jet hadrochemistry can help discriminate between proposed jet-medium interaction mechanisms. Enabled by the excellent particle identification (PID) capabilities of ALICE, we present the first measurements of $π$, K, and p ratios within jets and the underlying event as a function of particle transverse momentum in pp and Pb--Pb collisions at $\sqrt{s_{\rm{NN}}}$ = 5.02 TeV. These measurements provide insight into soft particle production mechanisms and helps distinguish various jet quenching effects.
The probability to observe a specific number of strange and multi-strange hadrons ($n_s$), denoted as $P(n_s)$, is measured by ALICE at midrapidity ($|y|<0.5$) in $\sqrt{s} = 5.02$ TeV proton-proton (pp) collisions, dividing events into several multiplicity-density classes. Exploiting a novel technique based on counting the number of strange-particle candidates event-by-event, this measurement allows one to extend the study of strangeness production beyond the mean of the distribution. This constitutes a new test bench for production mechanisms, probing events with a large imbalance between strange and non-strange content. The analysis of a large-statistics data sample makes it possible to extract $P(n_s)$ up to a maximum $n_s$ of 7 for K$^{0}_{\rm s}$, 5 for $Λ$ and $\barΛ$, 4 for $Ξ^-$ and $Ξ^+$, and 2 for $Ω^-$ and $Ω^+$. From this, the probability of producing strange hadron multiplets per event is calculated, thereby enabling the extension of the study of strangeness enhancement to extreme situations where several strange quarks hadronize in a single event at midrapidity. Moreover, comparing hadron combinations with different $\it{u}$ and $\it{d}$ quark compositions and equal overall $s$ quark content, the contribution to the enhancement pattern coming from non-strangeness related mechanisms is isolated. The results are compared with state-of-the-art phenomenological models implemented in commonly used Monte Carlo event generators, including PYTHIA 8 Monash 2013, PYTHIA 8 with QCD-based Color Reconnection and Rope Hadronization (QCD-CR + Ropes), and EPOS LHC, which incorporates both partonic interactions and hydrodynamic evolution. These comparisons show that the new approach dramatically enhances the sensitivity to the different underlying physics mechanisms modeled by each generator.
Two-particle angular correlations explore particle production mechanisms and underlying event-wide phenomena present in the systems created in hadronic collisions. These correlations are examined as a function of rapidity and azimuthal-angle differences ($Δy, Δ\varphi$) for pairs of like- and unlike-sign pions, kaons, and (anti-)protons produced in pp collisions at $\sqrt{s}$ = 13 TeV, measured by the ALICE experiment. Two-particle correlation functions are provided, along with $Δy$ and $Δ\varphi$ projections, and are compared to Monte Carlo (MC) model predictions. For the first time, the measurement is performed as a function of the event's charged-particle density. The shapes of the correlation functions are studied in detail for each particle pair. Previous studies conducted for pp collisions at $\sqrt{s}$ = 7 TeV at ALICE have revealed an anticorrelation at small relative angles for baryon-baryon and antibaryon-antibaryon pairs, whose origin remains an open question. In this work, an additional approach is introduced to study the multiplicity dependence of the correlation functions in more detail and reveal qualitative differences in the underlying sources of correlations, such as quantum statistics, final-state interactions, and resonance decays. The puzzling near-side anticorrelation in baryon-baryon measurements is observed across all multiplicity classes and remains a challenge for models of particle production in pp collisions. Furthermore, the multiplicity dependence of the correlations between mesons provides an independent means to explore the sensitivity of current MC models to soft-QCD effects and hadronization dynamics. The presented measurements, together with the baryon results, enrich the experimental picture of two-particle correlations in pp collisions and serve as valuable input for ongoing theoretical developments.
The centrality dependence of strange ($K_S^0$, $Λ+ \barΛ$) and multi-strange ($Ξ^- + \bar{Ξ^+}$, $Ω^- + \barΩ^+$) hadron production is measured by ALICE in the LHC lead-lead (Pb-Pb) collisions at a center-of-mass energy per nucleon pair $\sqrt{s_{\rm NN}} = 5.02$~TeV, using the full data set collected during the LHC Run 2 campaign in the years 2015 and 2018. This is the largest heavy-ion data set analyzed to date at the LHC, and it allows for the extraction of transverse momentum ($p_T$) spectra and $p_T$-integrated yields with unprecedented precision, over a broad range of charged particle multiplicity densities ($\langle dN_{ch}/dη\rangle_{|η|<0.5}$), probing regions where smaller collision system (pp and p-Pb) results are also available. The $p_T$ spectra evolve with centrality, featuring higher $\langle p_T \rangle$ in central events for all particles. The $Λ/K_S^0$ ratio exhibits the distinctive baryon-to-meson enhancement in the intermediate $p_T$ region, with a maximum which is shifted to larger $p_T$ for more central collisions. The hadron-to-pion yield ratios are presented as a function of $\langle dN_{ch}/dη\rangle_{|η|<0.5}$ and compared to results from different collision systems and energies. A smooth connection from pp to Pb-Pb is observed, thus demonstrating that collision system or energy do not play a role in the multiplicity evolution of this observable. The previously reported enhancement of strangeness production in the multiplicity range probed in pp and p_Pb collisions saturates in the multiplicity range of Pb-Pb data. These results constitute a key test bench for theoretical models and a first comparison to the EPOS~4 generator is presented.
2511.10322In this document, experimental nuclear structure data are evaluated for 16Be. The details of each reaction populating 16Be levels are compiled and evaluated. The combined results provide a set of adopted values that include level energies, spins and parities, level widths, decay types and other nuclear properties.
2511.10321In this document, experimental nuclear structure data are evaluated for 15Be. The details of each reaction populating 15Be levels are compiled and evaluated. The combined results provide a set of adopted values that include level energies, spins and parities, level widths, decay types and other nuclear properties.
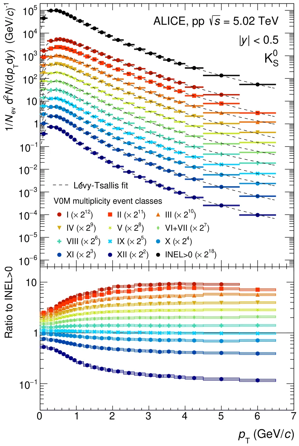
(Multi-)strange particle production rates and transverse momentum distributions are measured at midrapidity ($|y| < 0.5$) as a function of the charged-particle multiplicity density by the ALICE experiment at the LHC, using proton-proton collisions at a center-of-mass energy of ${\bf \sqrt{s}~=~5.02}$~TeV. This study extends similar studies performed at ${\bf \sqrt{s}~=~7}$~TeV and ${\bf \sqrt{s}~=~13}$~TeV to a lower energy regime, improving the statistical precision and extending the measurement to previously unexplored low-multiplicity regions. While $K_S^0$, $Λ$, and $Ξ$ yields can be described with a linear multiplicity dependence within uncertainties, the $Ω$ yields follow a significantly faster than linear increasing trend. For all analyzed particles, the overall production rate is consistent with those observed at higher energy and at similar multiplicity densities. Transverse momentum distributions are observed to evolve with multiplicity. Several state-of-the-art QCD-inspired Monte Carlo models have been compared to the data, testing some recently introduced features to address the findings at higher energies. Models can qualitatively describe the transverse momentum spectra and the $Λ/K_S^0$ spectral ratio only if collectivity is introduced in the evolution of the system.
Machine learning techniques are increasingly being applied in high-energy nuclear physics data analysis thanks to their outstanding performance. One key challenge in such applications is the construction of training samples that can accurately represent real data. Training samples are typically generated through detector simulations, but discrepancies between simulated and real data can lead to degradation in machine learning performance and systematic biases in the results. This paper introduces two methods: i) cumulative distribution function mapping and ii) shift-and-scale, to align simulated signals with real data, which can aid in eliminating the aforementioned issues. We use the J/$ψ$ yield measurement in 200 GeV Ru+Ru and Zr+Zr collisions with the STAR experiment as an example to demonstrate the application and effectiveness of the proposed methods.
During proton therapy, the beam flux decreases due to inelastic interactions with nuclei. At the highest energies used in proton therapy around 25\% protons initiate nuclear reactions. This report presents the cross section measurements of proton-induced production of three $β^+$ emitters -- $^{11}$C, $^{13}$N, $^{15}$O -- with half-lives between 2 and 20 minutes, using solid C, BN and SiO$_2$ targets. Stacks of up to 15 targets were irradiated simultaneously with proton beams of kinetic energy below 58 MeV at the AIC-144 cyclotron of the Institute of Nuclear Physics, Polish Academy of Sciences. The measured cross sections follow the excitation function obtained in the previous experiments, with uncertainty of a few percent.
2511.07648In this document, experimental nuclear structure data are evaluated for 8C. The details of each reaction populating 8C levels are compiled and evaluated. The combined results provide a set of adopted values that include level energies, spins and parities, level widths, decay types and branching ratios, and other nuclear properties. This work supersedes the earlier work by J. E. Purcell in (2018) published in the ENSDF database.
In this document, experimental nuclear structure data are evaluated for 19Ne. 19Ne was first identified by (1939Fo01), see (2012Th01). The details of each reaction and decay experiment populating 19Ne levels are compiled and evaluated. The combined results provide a set of adopted values that include level energies, spins and parities, level half-lives, γ-ray energies, decay types and branching ratios, and other nuclear properties. This work supersedes the earlier work by Ron Tilley (1995Ti07) published in Nuclear Physics A 595 (1995) 1. The earlier evaluations were published by Fay Ajzenberg-Selove in (1959Aj76, 1972Aj02, 1978Aj03, 1983Aj01, and 1987Aj02).
In this document, experimental nuclear structure data are evaluated for 18Ne for ENSDF. 18Ne was first identified by (1954Go17), see (2012Th01). The details of each reaction and decay experiment populating 18Ne levels are compiled and evaluated. The combined results provide a set of adopted values that include level energies, spins and parities, level half-lives, γ-ray energies, decay types and branching ratios, and other nuclear properties. This work supersedes the earlier work by Ron Tilley (1995Ti07) published in Nuclear Physics A 595 (1995) 1. The earlier evaluations were published by Fay Ajzenberg-Selove in (1959Aj76, 1972Aj02, 1978Aj03, 1983Aj01, and 1987Aj02).
The upcoming Electron-Ion Collider (EIC) will address several outstanding puzzles in modern nuclear physics. Key questions, such as the partonic structure of nucleons and nuclei and the origin of their mass and spin, can be explored through high-energy electron-proton and electron-nucleus collisions. To maximize its scientific reach, the EIC community has advocated for the addition of a second interaction region equipped with a detector complementary to the EIC general purpose collider detector, ePIC. The pre-conceptual design of this interaction region aims to provide a different configuration from the first interaction region, which enhances forward acceptance at very small scattering angles ($θ\sim 0$ mrad). This machine configuration would significantly benefit exclusive, tagging, and diffractive physics programs, complementing those of the ePIC experiment. In particular, accessing coherent diffractive processes on light nuclei by tagging of the full, intact nucleus is essential for mapping their spatial parton distributions. In this work, we present a systematic study of the detection capabilities for light nuclei at a second EIC interaction region, with a detailed discussion of the accessible kinematic phase space and its implications for imaging.
We present measurements of cumulants of event-by-event net-proton distribution at mid-rapidity and their ratios up to the sixth order as a function of charged-particle multiplicity in Zr+Zr and Ru+Ru(isobars) collisions at a nucleon-nucleon center-of-mass energy ($\sqrt{s_{NN}}$) of 200 GeV. The data are collected from the STAR experiment with a total of two billion events recorded for each collision system. The measurements are compared with those obtained from p+p and Au+Au collision systems at the same center-of-mass energy. The higher-order cumulant ratios ($C_4/C_2$, $C_5/C_1$, and $C_6/C_2$) show an overall decreasing trend as a function of the charged-particle multiplicity across systems. The isobar results align with the Au+Au trends within uncertainties. The observations are compared with calculations from Lattice Gauge Theory (LGT) that include a quark-hadron crossover. The systematic behavior of the higher-order cumulant ratios shows that, overall, they progressively approach LGT predictions with increasing multiplicity within uncertainties. This could imply that the medium created in these heavy-ion collisions gradually evolves into thermalized QCD matter undergoing a crossover transition with multiplicity.
The $N(1440)1/2^+$ nucleon resonance, first identified in 1964 by L.D. Roper and collaborators in analyses of $πN$ hadroproduction data have continued to provide pivotal insights that serve to advance our understanding of nucleon excited states. In this contribution, we present results from studies of the structure of the Roper resonance based on exclusive $πN$ and $π^+π^-p$ electroproduction data measured with the CLAS detector at Jefferson Lab. These analyses have revealed the Roper resonance as a complex interplay between an inner core of three dressed quarks and an external meson--baryon cloud. Analyses of the CLAS results on the evolution of the Roper resonance electroexcitation amplitudes with photon virtuality $Q^2$, within the framework of the Continuum Schwinger Method, have conclusively demonstrated the capability to gain insight into the strong interaction dynamics responsible for generating more than 98\% of hadron mass. Further extension of such studies to higher $Q^2$--through experiments currently underway with the CLAS12 detector and in the future with a potential CEBAF energy upgrade to 22 GeV--offers the only foreseeable opportunity to explore the full range of distances where the dominant portion of hadron mass and resonance structure emerges.
We discuss the measurement of the charged-current elastic scattering process $e^-p\rightarrowν_e n$ at the Electron-Ion Collider (EIC). This process provides sensitivity to the poorly constrained axial form factor of the nucleon, which encodes the spatial distribution of weak charge. Collisions of electrons with polarized protons enable measuring the axial form factor via the $e^{-\!}\,\vec{p} \to ν_e\,n$ target-spin asymmetry for the first time. We conclude that a measurement of charged-current elastic scattering at the EIC will, perhaps unsurprisingly, prove very challenging. However, with dedicated instrumentation at a second EIC detector, the measurement may be possible.
In the era of precision measurements in high-energy heavy-ion physics, there is an increasing expectation towards phenomenological and theoretical studies to provide a better description of data. In recent years, multiple experiments have confirmed through two-pion Bose-Einstein correlation measurements that the shape of the two-pion pair source can be well described by Levy-stable distributions. However, direct comparisons of new phenomenological results with the data are still needed to understand the underlying phenomena and learn more about the nature of pion emission. In this paper, we present a three-dimensional analysis of the two-pion source in Monte-Carlo simulations of Au+Au collisions at 200 GeV per nucleon collision energy, and discuss a detailed comparison with the most recent centrality-dependent measurements from the PHENIX Collaboration.