High Energy Physics - Phenomenology
Theoretical particle physics, extensions of Standard Model, predictions for experiments.
Looking for a broader view? This category is part of:
Theoretical particle physics, extensions of Standard Model, predictions for experiments.
Looking for a broader view? This category is part of:
We investigate the viability of non-thermal leptogenesis in the gauged $U(1)_{B-L}$ extension of the Standard Model (BLSM) with an inverse seesaw (ISS) mechanism for neutrino mass generation. In this framework, right-handed neutrinos typically have $\mathcal{O}(1)$ Yukawa couplings, which induce strong washout effects and render conventional thermal leptogenesis ineffective. We demonstrate that a successful baryogenesis scenario can nevertheless be realized through non-thermal leptogenesis, where right-handed neutrinos are produced from the decay of the heavy $B\!-\!L$ Higgs boson $χ$. We explicitly analyze the interplay between the dilution factor $T_R/M_χ$ and the washout parameter characteristic of the ISS, highlighting the tension between suppressing washout effects and maintaining sufficient reheating. We show that a viable lepton asymmetry can be generated provided the scalar mass spectrum is appropriately tuned, allowing for a reduced reheating temperature while keeping washout under control. The resulting lepton asymmetry is efficiently converted into the observed baryon asymmetry of the Universe via sphaleron processes. Our results establish that the inverse-seesaw $B\!-\!L$ model remains a predictive and robust framework for non-thermal leptogenesis and baryogenesis.
In this contribution, we summarize our results on the complete NLO predictions for the production of off-shell top quark pairs in the $\ell+j$ channel at the LHC. All NLO QCD and electroweak corrections are consistently included across the full set of LO contributions and partonic subprocesses, while retaining finite-width effects of the top quarks and the electroweak gauge bosons. Resonant and non-resonant contributions as well as interference effects are included in the complete calculation. We pay special attention to infrared singularities associated with photons and jets appearing simultaneously in the final state. Fiducial integrated and differential cross-section results are presented for $pp$ collisions at $\sqrt{s}=13.6$ TeV.
2601.05055Light bosonic fields may suffer an instability around a rotating compact object. This process, known as superradiance, leads to the exponential amplification of the field around a black hole or neutron star, while the spin of the central object is correspondingly depleted. The discovery of a highly spinning black hole could therefore be used to constrain the existence of light bosons such as axions in a particular range of masses. These constraints apply for very low non-gravitational couplings between the boson and the Standard Model, offering a powerful search strategy for new physics. However, care must be taken to include the more complex effects of the black hole's astrophysical environment. Conversely, stellar superradiance could allow us to probe additional non-gravitational interactions between a new boson at the stellar matter. In this article, I will discuss the current status and future directions of axion superradiance. This is a contribution to the proceedings of the 3rd General Meeting of the COST Action COSMIC WISPers.
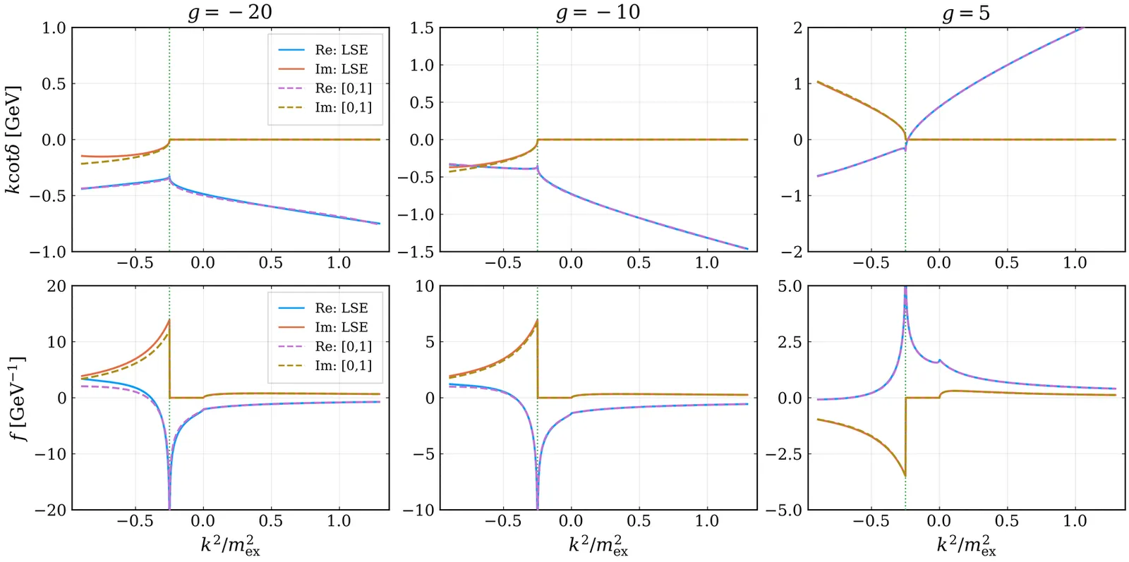
A model-independent parameterization of the low-energy scattering amplitude that incorporates the left-hand cut from one-particle exchange, an extension of the conventional effective-range expansion (ERE), was recently proposed and successfully applied to the low-energy $DD^*$ system [Phys. Rev. Lett. 135, 011903 (2025)]. While the original formulation is based on a nonrelativistic approximation and is thus limited to a [1,1] approximant for self-consistency, we extend the framework by explicitly including the higher-order terms up to $\mathcal{O}(k^6)$. We systematically investigate the reliability and robustness of the generalized ERE by incorporating relativistic kinematic effects. In addition, we develop a relativistic version of the ERE that accounts for lhc contributions. These results affirm the generalized ERE as a robust and systematically improvable framework for near-threshold scattering processes, providing both analytical and numerical reliability for applications in two-body scattering problems with a particle exchange.
We study the sensitivity of the upcoming electron-ion (EIC) collider to purely electrophilic new physics in the GeV mass range. Within an effective field theory framework, we consider two different scenarios: an axion-like particle (ALP) and a new heavy neutral vector gauge boson $Z^\prime $, each couples to electrons only. We analyze electron-proton collisions at $\sqrt{s}= 141$ GeV with an integrated luminosity of $100~{\rm fb}^{-1}$, focusing primarily on the tri-electron final state. Additionally, loop-induced ALP-photon couplings driven photon final states are also explored. Incorporating realistic detector effects and systematic uncertainties, we obtain projected exclusion limits on the relevant cross-sections and couplings. We find that the results from EIC can significantly extend the sensitivity to electrophilic axion-like particles and $Z^\prime $ bosons in regions of parameter space that remain weakly constrained by existing experiments.
We present an NLO QCD sum rules analysis of $J^{PC}=1^{-+}$ light four-quark states, investigated several compact tetraquark and four-quark molecule states, we obtain $1^{-+}$ light four-quark states masses,. Crucially, we have not find four-quark states with mass $\sim 1.4\,\text{GeV}$, which is the interpreted to be $π_1(1400)$ exotic state in previous leading-order studies. This result do not support the existence of $π_1(1400)$ state, agrees with the current experimental observation.
We demonstrate that primordial magnetic fields (PMF) play a decisive role in the braneworld baryogenesis scenario of [Phys. Rev. D $\textbf{110}$, 023520 (2024)], where C/CP violation arises from the coupling of visible and hidden matter-antimatter sectors through a pseudo-scalar field. Although this mechanism generates baryon number efficiently only after the quark-hadron transition, by incorporating a realistic stochastic PMF within a semi-analytical framework, we find that matching the observed baryon-antibaryon asymmetry robustly requires PMF strengths of order $10^{10}$ T right after the transition, in agreement with causal QCD-era magnetogenesis. We further reveal that magnetic fluctuations drive the baryon-density spectrum to white noise on large scales, yielding an isocurvature component compatible with Cosmic Microwave Background (CMB) bounds. This establishes a predictive link between the braneworld baryogenesis model and realistic early-Universe magnetic fields.
We investigate the possibility of neutrinos interacting with a scalar dark matter field and the resulting implications for neutrino oscillations in the long-baseline sector. As our Universe is predominantly composed of dark matter, neutrinos propagating over astrophysical and terrestrial baselines inevitably traverse a dark matter background. The coherent forward scattering of neutrinos in such a background induces a medium-dependent correction to the mass-squared term in the effective neutrino Hamiltonian having opposing signs for neutrinos and antineutrinos. We study how the elements of this correction matrix, arising from coherent forward scattering of neutrinos with scalar dark matter background referred to as dark non-standard interactions (dark NSI), modify neutrino oscillation probabilities. Furthermore, we also study the effect of the off-diagonal elements and the associated phases on the measurement of leptonic CP violating phase focusing on the upcoming long-baseline superbeam experiments DUNE and T2HK. We show that dark NSI can lead to substantial enhancement or suppression of CP-violation sensitivity, depending on the true values of the dark NSI phases $φ_{αβ}$. We further explored how the synergy of DUNE and T2HK can effectively mitigate the degeneracies due to the dark NSI phases, and can restore or even enhance the CP sensitivity as compared to the standard oscillation scenario.
2601.04718Motivated by recent claims questioning the existence of strong CP violation, we present a pedagogical review of CP violation in Quantum Chromodynamics (QCD). Using fundamental properties of the QCD partition function, we analyze the dependence of the chiral quark and CP violating gluon condensates on the theta parameter and the quark masses in the chiral limit. We show explicitly how CP violation arises, clarify the role of the axial U(1) anomaly and the ordering of the infinite-volume limit, and discuss the conditions under which CP symmetry may or may not be realized, including in the large-N framework. Our results reaffirm the presence of strong CP violation for physically relevant parameters and thus the theoretical basis of the strong CP problem and axion physics.
We present a search for ultralight axion dark matter coupled to electron spins using a levitated ferromagnetic torsional oscillator (FMTO). This platform directly measures axion-induced torques on a macroscopic spin-polarized body, combining large spin density with strong mechanical isolation to probe magnetic fluctuations below 10 Hz while suppressing gradient-field noise. In a first implementation, the experiment yielded 18000 s of analyzable data at room temperature under high vacuum with optical readout and triple-layer magnetic shielding. A likelihood-based statistical framework, incorporating stochastic fluctuations in the axion-field amplitude, was used to evaluate the data. No excess consistent with an axion-induced pseudo-magnetic field was observed near 2e-14 eV. To account for possible shielding-induced signal attenuation, we quantify its effect and report both the uncorrected (g_aee < 1e-7) and attenuation-corrected (g_aee < 6e-5) 90% CL limits on the axion-electron coupling. Looking ahead, improvements guided by both noise-budget analysis and shielding-attenuation considerations, including optimized levitation geometry, cryogenic operation, and superconducting shielding, are expected to boost sensitivity by multiple orders of magnitude.
2601.04529We study in the bottom-up framework the possibility to generate the quark mass hierarchies without fine-tuning, the quark mixing and CP-violation (CPV) in a flavour model with $S^\prime_4$ modular symmetry having minimal number of parameters. The model is considered in the vicinity of the fixed point $τ_\text{T}= i\infty$, $τ_\text{vev} \sim τ_\text{T}$, $τ_\text{vev}$ being the vacuum expectation value (VEV) of the modulus $τ$, which allows to explain the hierarchies of the quark masses. The ten quark observables are described by nine real parameters. The CP-symmetry is broken explicitly since, as is well known, reproducing the observed CPV in the quark sector in the case of spontaneous breaking of CP-symmetry by $τ_\text{vev}$ is highly problematic in the class of minimal modular quark flavour models (explaining the quark mass hierarchies without fine-tuning) of the type we consider. We perform a statistical analysis of the model and show that it is phenomenologically viable and consistent, in particular, with the ``inclusive'' decay data on the $|V_{ub}|$ and $|V_{cb}|$ elements of the CKM matrix and, in the case of a very high scale of supersymmetry breaking, with the current ``average'' experimental values of $|V_{ub}|$ and $|V_{cb}|$.
We present a comprehensive study of the screening masses of vector and axial-vector mesons and their corresponding diquark partners within a symmetry-preserving vector-vector contact interaction approach. Our analysis includes mesons and diquarks composed of both light and heavy quarks, providing a unified description of their thermal behavior. The longitudinal and transverse modes of the screening masses are analyzed, and the results are systematically compared with other theoretical approaches. At $T = 0$ MeV, our predictions agree with available experimental data, and a comparison with the expected free theory limit at high temperatures is also presented. Notably, the parity partners of the lightest mesons and diquarks converge at high temperatures, signaling chiral symmetry restoration within this framework. These results provide a consistent and detailed picture of meson and diquark properties at finite temperature and lay the groundwork for extending the capabilities of the model to baryon screening masses in the quark-diquark picture.
We show that metastable cosmic strings break at early times, either via finite-temperature effects or by attaching to pre-existing monopoles during network percolation. The resulting segments can be initially super-horizon in size and thus persist for a significant amount of time. If the strings do not re-percolate, the network's eventual destruction is typically due to this early-time breaking rather than late-time quantum tunnelling. Survival of strings to epochs probed by NANOGrav requires $m_M^2/μ\gtrsim 10^3$, where $m_M$ and $μ$ are the monopole mass and the string tension respectively, over an order of magnitude larger than previous estimates. We also revisit quantum-tunnelling induced breaking. Results from numerical simulations suggest that this occurs mainly at rare high-tension points on the strings, yielding a rate much larger than is usually assumed. We briefly discuss the related scenario of flux tubes in a dark QCD-like hidden sector with dark-quark masses above the confinement scale.
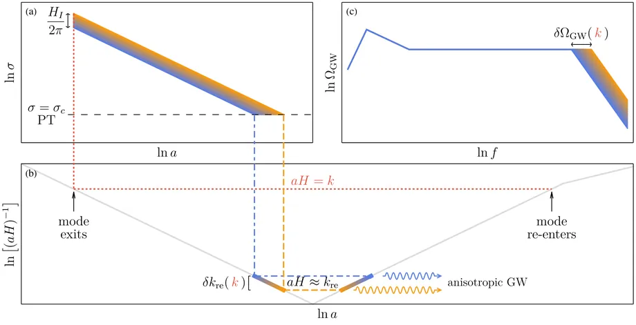
We propose a general framework in which a phase transition is triggered during cosmic inflation by the slow-roll dynamics of a spectator field. The topological defects formed at the transition are inflated outside the horizon, reenter it after inflation, and can subsequently generate characteristic gravitational-wave (GW) signals. Quantum fluctuations of the spectator field modulate the timing of the transition, imprinting large-scale anisotropies in the resulting GW background. As an explicit realization, the spectator field may be identified with the Higgs field in a supersymmetric Standard Model. More generally, our framework applies to a wide class of spectator-modulated phenomena, providing a generic mechanism for producing anisotropic GW signals.
We derive a general expression for the resummation of rapidity distributions for processes with a colorless final state, such as Drell-Yan or Higgs production, in the limit in which the center-of-mass energy goes on threshold, but with fixed rapidity of the Higgs or gauge boson in the partonic center-of-mass frame. The result is obtained by suitably generalizing the renormalization-group based approach to threshold resummation previously pursued by us. The ensuing expression is valid to all logarithmic orders but the resummation coefficients must be determined by comparing to fixed order results. We perform this comparison for the Drell-Yan process using the fixed-order next-to-next-to-leading (NNLO) result, thereby determining resummation coefficients up to next-to-next-to-leading logarithmic (NNLL) accuracy, for the quark-antiquark coefficient function in the quark nonsinglet channel. We provide a translation to direct QCD of a result for this resummation previously obtained using SCET methods, and we show that it agrees with our own.
We present the first complete next-to-leading order calculation of the impact factors for hadroproduction of $S$-wave quarkonium states within the BFKL formalism. We present the computation of the real-emission contributions which completes the recent one of one-loop virtual corrections by one of us for the impact factors for the ${}^1S_0^{[1]}$, ${}^1S_0^{[8]}$, and ${}^3S_1^{[8]}$ NRQCD states. We prove the cancellation of soft divergences between real and virtual contributions, and that the surviving collinear singularities are compatible with factorisation up to one loop for a novel class of processes where BFKL resummation can be applied. Our work indeed represents the first complete NLO quarkonium impact factor in the BFKL framework and paves the way to first next-to-leading-logarithmic-precision studies for hadroproduction of forward-backward quarkonium associated production at hadron colliders.
We analyze identified hadron spectra in pp collisions at $\sqrt{s} = 13$ TeV measured by ALICE within a non-extensive statistical framework. Spectra classified by multiplicity, flattenicity, and spherocity were fitted with the Tsallis-Pareto distribution, and the parameters were studied on the Tsallis-thermometer. Multiplicity and flattenicity classes follow a previously observed scaling, while the non-extensivity parameter shows a distinct sensitivity to the spherocity. A data-driven parametrization confirms a proportionality between the Tsallis temperature and mean transverse momentum, offering a simple estimate of the effective temperature. These results highlight the ability of the Tsallis-thermometer to capture both multiplicity and event-shape effects, linking soft and hard processes in small systems.
We investigate a supersymmetric framework in which soft supersymmetry-breaking effects provide the dominant origin of Peccei--Quinn (PQ) symmetry breaking and axion mass generation. In the supersymmetric limit the theory possesses an exact PQ symmetry and a massless axion, while the inclusion of soft terms proportional to the gravitino mass induces spontaneous PQ breaking, stabilizes the saxion direction, and generates a mass for the axion. As a consequence, the axion, saxion, and axino masses are all controlled by the supersymmetry-breaking scale, leading to a correlated and predictive spectrum of axion-like states. The presence of explicit soft PQ-breaking terms raises the question of vacuum alignment and CP violation. We show that although the axion mass does not originate from QCD instantons, the induced strong CP phase is parametrically suppressed by the hierarchy between the QCD-induced and soft-induced axion masses. As a result, the explicit breaking does not generate an observable CP-violating vacuum angle across the parameter space of interest. We analyze the phenomenological implications of this scenario, including axion lifetimes, axion--photon couplings, and laboratory, astrophysical, and cosmological constraints. Direct confrontations with beam-dump and collider searches, together with Big Bang nucleosynthesis bounds, demonstrate that a substantial region of parameter space remains viable and testable. The framework thus provides a self-consistent and phenomenologically rich realization of axion-like particles whose masses arise predominantly from soft supersymmetry breaking.
Semileptonic $τ$ decays mainly proceed via interactions between charged lepton and quark currents. The hadronization of the quark current is intrinsically nonperturbative and generally cannot be addressed analytically. In these proceedings, we propose using symmetry arguments alone to construct clean angular observables, which, within the Standard Model and in the absence of long-distance electromagnetic corrections, remain form-factor independent. These predictions can be experimentally tested, and any observed deviation could signal either effects of physics beyond the Standard Model or provide a clean benchmark for long-distance electromagnetic corrections. We also perform a first estimate of the expected impact of new physics in an EFT framework.
We uncover a new anomalous term in hidden local symmetry that enforces the topological quantization of vector-meson anomalous couplings. Unlike existing formulations in the literature, which introduce several unquantized coefficients, our term removes this freedom by fixing the couplings to quantized, topologically determined values. We further conjecture that it saturates the anomaly, explaining the success of vector-meson dominance while pinpointing where saturation must fail. High-precision measurements of $η^{(\prime)}\toπ^+π^-γ^*$ form factors at BESIII and the Super $τ$-Charm Facility can provide a definitive experimental discriminator of this quantized picture.